恒星是天体物理的基石。恒星物理参数的精确测定对研究恒星结构和演化、星系、乃至宇宙学均具有重要意义。双星系统是准确求解恒星基本物理参数(质量、半径和光度等)的理想天体,而脉动变星对探测恒星的内部结构和物理过程至关重要。包含脉动变星的双星系统,不仅为限制脉动子星的星震学模型提供额外约束,同时为研究双星相互作用以及对恒星脉动的影响提供契机。δ Scuti是一类特殊的A-F型脉动变星,位于赫罗图中主序带和脉动不稳定带的重叠区域。其光变主要由压力模式(pressure mode)主导,由于其具有复杂的振动模式和频率信息,因此这些频率脉动模式的证认以及稳定性问题成为当前研究的重点和难点。
针对这一问题,成人影院-国产成人影院
左兆宇教授研究团队基于Kepler空间望远镜观测得到的超高精度的时序测光数据,成功提取了KIC8840638的脉动频率并进行了证认,发现该星处于双星之中并获取其轨道频率以及脉动子星的内在本征频率。经过证认,发现该子星包含7个独立的脉动频率,且频率间存在一个可能的大频率间隔 Δν= 36.5 ± 0.1 μHz(如图1所示),这为进一步限制恒星的内部结构参数提供了新的线索。

图1 利用FT、HFD和AC的方法探测到的一个可能的大频率间隔 Δν= 36.5 ± 0.1 μHz。
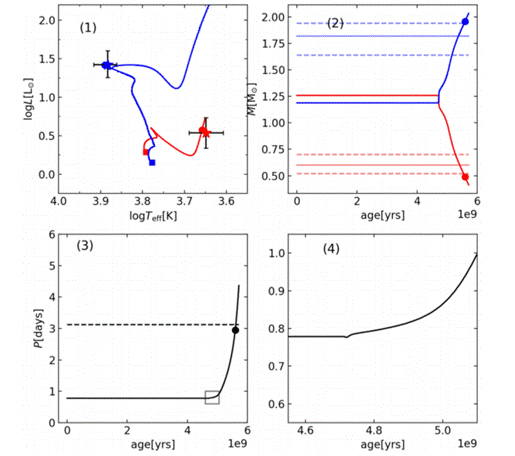
此外,研究人员利用先进的双星解轨程序获得了该系统的双星物理参量,确定该系统是分离双星系统,且两颗子星的有效温度差异高达3100K;结合恒星演化模型,发现该系统可能刚刚经历了一次质量反转过程(如图2所示),为双星系统物质交换过程的精确限制提供新的样本。

图2 恒星演化历史轨迹。(1)赫罗图,主星(蓝色)和次星(红色)从零龄主序开始的演化轨迹;(2)两颗子星的质量随时间演化的曲线;(3)轨道周期随时间的演化;(4)由于两子星质量交换引起轨道周期变化的初始时刻。
为了研究脉动模式的稳定性,研究人员基于凌星系外行星巡天卫星(TESS)提供的高精度测光数据,对δ Scuti变星TIC 400562821进行了详细的星震学研究,发现TIC 400562821是一颗三模大振幅盾牌座δ Scuti(HADS)变星,由基模F、第一泛音模式F1和第二泛音模式F2组成。观测数据显示三个模式的振幅几乎保持不变(如图3所示)。

图3 脉动振幅随时间的变化。

图4 理论模型RSP呈现的脉动振幅随时间的变化。
然而,理论模型Radial Stellar Pulsations(RSP)表明,在经过10,000次脉动后,F的振幅基本保持不变,而F1的振幅逐渐减小,F2的振幅趋于零(如图4所示)。因此,目前的理论尚不能对观测做出好的解释,有待更长期观测予以进一步确认。最后,采用4个不同的混合长参数αMLT= 0.5、1.0、1.5、1.9对TIC 400562821进行星震学建模。结果显示:αMLT< 1.0更可能适用于TIC 400562821;这颗恒星目前可能处于主序后演化阶段,质量M = 1.34-1.38Msun,金属丰度Z = 0.007-0.008(如图5所示)。

图5 恒星质量为1.38个太阳质量,金属丰度Z=0.008理论模型的Petersen diagram。
以上工作近期分别以“KIC 8840638: A Newly Discovered Eclipsing Binary with δ Scuti–Type Oscillations”和“Asteroseismology of Triple-mode Radial δ Scuti Star: TIC 400562821”为题发表在国际著名天文学期刊《The Astrophysical Journal》上,成人影院-国产成人影院
为唯一通讯单位,文章第一作者分别是杨涛只副教授和博士生孙小丫,左兆宇教授为论文唯一通讯作者。该工作的合作者包括来自西班牙、美国、比利时、中科院云南天文台以及厦门大学相关单位的研究人员。该研究工作得到国家自然科学基金青年项目、面上项目和陕西省数理基金项目的支持。
论文1链接://doi.org/10.3847/1538-4357/ad7841
论文2链接://doi.org/10.3847/1538-4357/ad87eb